
Without a systematic discussion of discrepancies, errors and variations in judgment will persist and double reading won't be practical, said a Norwegian researcher who has just published a study of 1,071 double-read abdominal CT exams.
Dr. Peter Lauritzen, radiologist at Akershus University Hospital. Photo by Øystein H. Horgmo, University of Oslo."In the U.K. and the U.S., past cases are systematically collected to review discrepancies and to educate radiologists. Although mainly current cases are reviewed in Norway, the uncovered discrepancies are not systematically discussed. Hence, we are likely to make the same mistakes over, and variations in judgment on key issues will persist," noted Dr. Peter Lauritzen, a radiologist at Akershus University Hospital in Lørenskog. "To improve the consistency of our interpretations, we must systematically collect variations and errors, and discuss them to try to reach a consensus."
He stressed the need for a systematic approach, both to review and for feedback. However, review of current cases is preferable to previous ones due to the impact on patient management.
"The clinical issues concerned in these changes are important, and potentially influence decisions to perform surgery or other therapeutic decisions, length of stay, morbidity, or even mortality. This confirms that some form of quality assurance is warranted," Lauritzen told AuntMinnieEurope.com. "However, if radiologists are to voluntarily report and discuss their mistakes, the review system must be nonpunitive and purely with the aim to educate and improve."
It's an enormous undertaking to double read all medical images, so he advocates targeting a certain selection such as urgent exams.
Summary of large BMJ study
Lauritzen is the lead author of a study published on 24 March 2016 by BMJ Quality & Safety. It involved a retrospective comparison between the preliminary and final reports of 1,071 double-read abdominal CT examinations, and the authors found that 146 reports (14%) underwent clinically important changes, according to gastrointestinal surgeons.
The CT exams were double read by consultant radiologists and the clinical importance of the differences between the preliminary and final reports were retrospectively rated by gastrointestinal surgeons as either critical (demanding immediate action), major (those having consequences for diagnosis and/or treatment but did not require immediate action), and intermediate (with consequences for follow-up or further investigations). The key results are summarized below.
Clinical significance and severity in second read findings. Images courtesy of Dr. Peter Lauritzen. Source: BMJ Quality & Safety.There were no changes made to 435 reports (41%). Simple orthographical corrections or changes in layout were made to 237 reports (22%), making a total of 672 (63%) clinically unchanged reports. In 399 reports (37%), the clinical content had been changed, and these were submitted for clinical rating. Of these, 146 (14%) were found to have undergone clinically important changes, while changes in 253 reports (24%) were rated as not clinically important. (Percentages over 1% were given by authors as rounded figures)
Among the 146 that underwent clinically important changes, changes to three were critical (0.3% of 1,071). These included one case of intestinal obstruction and two cases of anastomotic leakage. In one of these leakage cases, the preliminary report had described normal postoperative findings. Such cases require immediate surgery, according to the authors.
Changes to 35 (3%) were rated "major," including diagnoses of, for example, a tumor with metastasis, or vascular findings such as mesenteric claudication. Changes to 108 (10%) of the reports were rated "intermediate."
Furthermore, of the 146 cases in which changes were deemed clinically important, the severity of the radiological findings was increased in 118 (81% of 146), reduced in 11 (8%) and unchanged in 17 (12%). The group also found that more clinically important changes were made to urgent cases. There were fewer clinically important changes made to the preliminary reports of subspecialized abdominal radiologists as first readers, and as second readers, subspecialized abdominal radiologists more frequently made clinically important changes.
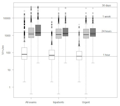
Chart shows report turnaround times. Source: BMJ Quality & Safety.Lauritzen described the team's surprise at the large number of double-read cases rated "intermediate." In these cases, changes would not be expected to alter treatment or diagnosis, but they would influence decisions about follow-up, imaging controls, or further investigations.
"Typically, the intermediate changes result from the varying judgment of different radiologists, rather than being black and white cases of errors or missed findings. Such changes were made in 10% of reports, and this might suggest that clinical follow-up decisions based on radiology reports may be more random than we would like to believe," he said.
He pointed to a high proportion of Norway's imaging exams that are directed to a second read. In 2012, research across Norwegian hospitals led to an estimate of between 20% and 25% of consulting work hours spent on double reading. Specifically, 39% of CT exams, 47% of MRI, 24% of x-ray exams, and 16% of ultrasound exams underwent a request for second reading. Furthermore, the 2012 research revealed that less than 10% of departments in Norway record discrepancies.
"Other studies have pointed to examinations with a high frequency of pathology such as trauma scans, or examinations reported in unfavorable conditions such as during the night time or on-call duty with frequent interruptions," Lauritzen stated. "Our findings also suggest that subspecialists working within their own field of expertise might be the preferred second readers."
Examples of report changes with corresponding rating of clinical importance and change in severity. Source: BMJ Quality & Safety.In a previous study, the same authors used similar methodology to compare preliminary and finalized reports in double-read chest CT exams, again with the clinical importance of changes made to reports rated by surgeons. The group found that in both studies, results indicated that double reading changed diagnoses.
Editor's note: The image on the home page shows dynamic 4D CT angiography with only 12-cc contrast medium performed in a patient with renal insufficiency, after discovery of a type II endoleak postendovascular aneurysm repair. Volume-rendered image demonstrates endoleak. Copyright: University Medical Centre Mannheim at Heidelberg University, Germany. Image courtesy of Siemens Healthcare.



















